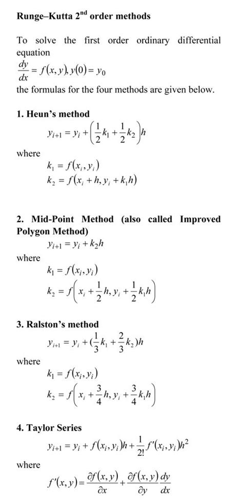
Mike Erickson Blog